jueves, 5 de mayo de 2022

Integrales Indefinidas y el Método de Sustitución

    Hasta ahora, hemos estudiado funciones sobre un intervalo finito [a, b] que nos permite encontrar una integral definida en el intervalo especificado. La solución es particular y específica de esa función y ese intervalo (si cambiamos el intervalo, cambiamos la solución). La integral indefinida de una función es el conjunto de todas las antiderivadas. Como dos antiderivadas cualesquiera difieren en una constante, la integral indefinida se representa como 

Donde C es cualquier constante arbitraria.

    Mientras que la solución de una integral definida es un número, una integral indefinida nos da una función más una constante arbitraria.

Ejemplo:

    Estas funciones son muy sencillas y sus antiderivadas son simples, pero la mayoría de las funciones no son así, por lo que debemos desarrollar técnicas más generales para encontrar antiderivadas. Un método que ya probamos fue el método de sustitución, así que ampliémoslo aquí.

Ejecutar la regla de la cadena al revés

    Si u es una función diferenciable de x y n es cualquier número diferente de -1, la regla de la cadena nos dice que

    Esta misma ecuación dice que  \frac{{{u^{n + 1}}}}{{n + 1}} es una de las antiderivadas de la función  {u^n}\frac{{du}}{{dx}}  asi que

    Que se puede simplificar por du = du/dx.

    Esta idea de cambiar o sustituir una expresión compleja por una nueva variable que simplifica la función es la clave del método de sustitución.

Ejemplo 2. Resuelve la integral.

    Para resolver esta integración, podemos expandir la exponencial y multiplicar y obtener una expresión en la que podamos usar las propiedades de la integración, pero esta tarea puede llevar mucho tiempo, por lo que lo que podemos hacer es encontrar una sustitución que se ajuste a nuestro modelo anterior.

    Hacemos u = x3 + x entonces  du = \,\frac{{du}}{{dx}}dx à (3x2 + 1) dx. Con esto podemos sustituir la expresión.

Para que la sustitución se realice correctamente, las expresiones deben coincidir con precisión.

    Sea u = 2x + 3 à du = 2dx pero la expresión du no coincide con la expresión dx por lo que debemos manipular los términos para que coincida. ½ du = dx.

    Teorema: si u = g(x) es una función derivable cuyo recorrido es un intervalo I, y f es continua en I, entonces.


    La regla de sustitución proporciona 3 pasos para que el método de sustitución evalúe la integral.
Donde f y g’ son funciones continuas:

  1. Sustituye u = g(x) du = \frac{{du}}{{dx}}dx = \frac{{dg}}{{dx}}dx = g'(x)dx. Reescribir la integral  \int {f(u)du} .
  2. Integrar con respecto a u.
  3. Reemplace u por g(x) en el resultado.
    Un integrando puede requerir alguna manipulación algebraica antes de que se pueda aplicar la sustitución. Si la sustitución no simplifica la función, podemos aplicarla de nuevo, o hemos hecho una elección incorrecta. El punto es que la expresión sustituida debe ser más simple que la expresión original, no más complicada.
Ejemplo 3:
    Esta expresión es similar a la última integral que resolvimos, excepto que esta vez tenemos un término adicional, por lo que podemos aplicar la misma sustitución y manipularla algebraicamente para encontrar una expresión para x en términos de u.
    Recuerda que la raíz cuadrada se puede escribir como exponente.
    La expresión parece desordenada, pero podemos simplificarla reduciendo el dos y el cuatro.
    Finalmente, podemos reemplazar la sustitución de u con la expresión original.

Ahora pueden seguirnos y contactarnos a través de Facebook, Twitter y correo electrónico.

 

 

También pueden seguir nuestro otro blog si les interesa aprender sobre el interesante mundo de la física. 

 

martes, 12 de abril de 2022

Teorema Fundamental del Calculo

    El Teorema fundamental del cálculo es un teorema que conecta la integración y la diferenciación, lo que nos permite calcular integrales utilizando una antiderivada de la función del integrando en lugar de tomar los límites de las sumas de Riemann.

    Este teorema se compone de dos partes: la primera parte implica la existencia de antiderivadas para funciones continuas, mientras que la segunda parte nos permite encontrar antiderivadas por integración simbólica evitando la integración numérica.

    Tomar los límites de las sumas de Riemann es un proceso largo y, dependiendo de la función, puede volverse muy difícil de calcular, por lo que fue necesario desarrollar un método más poderoso para evaluar integrales definidas. Este nuevo método se basará en el uso de antiderivadas. Este método combina las dos posiciones del cálculo que hemos estudiado hasta ahora (tomando los límites de sumas finitas para obtener una integral definida y el uso de derivadas y antiderivadas).

Parte 1

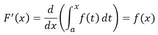
    Si f(t) es una función integrable en un intervalo finito I, entonces la integral f en cualquier número fijo x I a otro número a I define una nueva función F cuyo valor en x es

(1)

(las funciones f(x) y F(x) son diferentes).

    La importancia de esta nueva función radica en la conexión que hace entre integrales y derivadas.

    Veamos la geometría detrás de esto para ver cómo se mantiene este resultado.

    Sea f(x) 0 en [a, b], entonces F'(x) se puede calcular usando la definición de la derivada y tomando el límite como h à 0 del cociente de diferencias.

    Si h es pequeña, esta área es aproximadamente igual al área del rectángulo de altura f(x) y ancho h.

Dividiendo ambos lados por h à 0 obtenemos.

    Este resultado forma la primera parte del Teorema Fundamental del Cálculo.

  • Si f es continua en [a, b], entonces F(x) = \int\limits_a^x {f(t)} dt es continua en [a, b] y derivable en (a, b) y su derivada es f(x). 
(2)

    Básicamente, el teorema nos dice que, si F es la antiderivada de f, entonces la derivada de F es igual a f porque la derivada de la antiderivada te dará la función original. podemos comprobar esto utilizando el conocimiento que hemos recopilado hasta ahora. Comencemos usando la definición de derivada.

    Esto podemos reescribirlo usando la propiedad de aditividad que vimos en la publicación pasada.

    Según el teorema del valor medio, el valor antes de tomar el límite es uno de los valores que toma f entre x y x+h, es decir, para algún número c en este intervalo.

    Cuando h à 0, x+h se aproxima a x forzando a c a aproximarse también a x (porque c está atrapada entre x y x+h).

En conclusión.

    Esto es cierto incluso para x = a o b, ya que se convierte en un límite unilateral con h à o+ o h à o- respectivamente. Veamos algunos ejemplos.

    Usando el teorema fundamental del cálculo para encontrar dy/dx.

    Este primer ejemplo es muy simple ya que esta formulado directamente como lo indica el teorema así que solo hacemos una sustitución de variable t por x en la función.

    Este ejemplo tiene algo diferente y es que los valores de la integración están invertidos así que debemos colocarlos en el orden parecido al presentado en el teorema. Para ello podemos utilizar propiedad de integración que vimos en la publicación pasada.


    Este ejemplo es muy diferente a los dos previos ya que tenemos que el límite de integración no es x sino x2 haciendo que y sea una función compuesta de las dos variables. Para resolver esto debemos usar sustitución y la regla en cadena de la derivación.

Sustituimos x2 = u à du/dx = 2x

Aplicamos la regla en cadena  \frac{{dy}}{{dx}} = \frac{{dy}}{{du}} \cdot \frac{{du}}{{dx}}.


    En este ultimo ejemplo debemos aplicar todas las diferentes variedades que utilizamos en los ejemplos anteriores. Empecemos reorganizando los puntos extremos de la integral.

Ahora aplicamos sustitución. v = 2+3x2 à dv/dx = 6x

Finalmente aplicamos la regla en cadena  \frac{{dy}}{{dx}} = \frac{{dy}}{{dv}} \cdot \frac{{dv}}{{dx}}.


Parte 2

    La segunda parte del teorema describe cómo evaluar integrales definidas utilizando antiderivadas en los límites superior e inferior en lugar de calcular los límites de las sumas de Riemann.

  • Si f es continua en todo punto en [a, b] y F es cualquier antiderivada de f en [a, b], entonces.

(3)

    El teorema de evaluación es importante porque nos dice que para calcular la integral definida necesitamos hacer dos cosas:

  1. Encuentre una antiderivada de la función.
  2. Evalúe la antiderivada en los extremos (a, b) de modo que el número F(b) - F(a) sea igual \int\limits_a^b {f(x)} dx.

    Este proceso es mucho más fácil que usar el cálculo de sumas de Riemann. La notación usual para la diferencia F(b) - F(a) es.

    Dependiendo del número de términos que tenga F. Veamos algunos ejemplos.

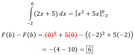
    Usando la parte 2 del teorema fundamental del cálculo evalué las siguientes integrales.

    Nuestro primer ejemplo es simple, y para encontrar su antiderivada podemos usar la tabla de reglas de la publicación de antiderivadas para obtener lo siguiente.

    Es importante estar atento a los signos. La mayoría de los errores en matemáticas son asociados a estos pues nos sentidos tan cómodos con ellos que fácilmente los omitimos y cometemos errores.

    Esta función se ve un poco intimidante, pero usando nuestras propiedades podemos dividirlas en partes y hacer que su cálculo mucho más fácil.

    Ahora tenemos dos integrales donde la primera es bastante simple de computar mientras que en la segunda podemos usar una de las propiedades trigonométricas para resolver una función mas simple o puedo sustituir la variable por una mas simple.

Sea x = 2t à dx = 2 dt. Así que dt = ½ dx.

Empecemos simplificando la expresión.

    Elegí representarlo de esta forma para que se haga obvio como calcular la antiderivada.

    Como se puede ver si trabajamos con antiderivadas el problema de integración se resuelve en unas cuantas líneas de computación haciendo del problema algo más fácil de manejar. En la próxima publicación voy a expandir el método de sustitución al igual que las integrales indefinidas. También estaré tocando las funciones inversas trigonométricas para ver como son representadas en una derivada y una integral.

Ahora pueden seguirnos y contactarnos a través de Facebook, Twitter y correo electrónico.

 

 

También pueden seguir nuestro otro blog si les interesa aprender sobre el interesante mundo de la física.