lunes, 27 de noviembre de 2023

Mas Ejemplos de Integración por Partes

 Evalúa las siguientes integrales.

Para poder resolver esta integral tendremos que utilizar dos métodos. El método de u sustitución e integración por partes. Usemos letras diferentes para no confundir sustitución de u con integración por partes.

Sea t = πθ àdt = π dθ ; 1 / π du = dθ

Sea u = t à du = dt; dv = cos(t) dt à v = sin(t)

Si usamos LIATE obtenemos u = ln(x) à du = 1/x dx; dv = xdx  à v = ½ x 2 . También te recomiendo que en cada apartado que resuelvas la integral la evalúes, de esa manera podrás llevar un registro de los valores de la respuesta.

La forma más sencilla que considero de evaluar esta integral es dividirla en varias integrales y evaluar cada una individualmente.

Usando integración por partes evaluamos la primera integral. Sea u = x 2 à du = 2x; dv = e x dx à v = e x.

Volvamos a la integración por partes. Curiosamente, la integral que resolveremos es también la segunda integral que tendremos que resolver más adelante, por lo que esto facilitará las cosas.

Sea u = 2x à du = 2dx; dv = e x dx à v = e x

También es la solución de nuestra siguiente integral, por lo que solo nos falta la integral final.

Ahora debemos juntarlo todo y simplificarlo.


Usemos LIATE para resolver esto. Sea u = cos(y) àdu = –sin(y) dy; dv = e–y dy àv = –e–y

Tenemos que volver a aplicar la integración por partes. Sea u = sin(y) àdu = cos(y) dy ; dv = e–y dy à v = –e–y

Como en la publicación anterior, podemos terminar con la integral original para poder usar las propiedades de la ecuación y llevarla al otro lado. 

Para resolver este caso primero debemos usar la sustitución u y luego descubriremos algo interesante. Para evitar confusiones con la integración por partes, utilizaré una letra diferente. Sea t = 2xà dt = 2dx entonces ½ dt = dx.

Esta integral es similar al problema anterior con un seno en lugar de un coseno. Entonces nuestra respuesta será similar, pero con un cambio de signo y un ½ término extra (si no estás seguro de por qué puedo hacer esta afirmación, busca las propiedades derivadas del seno y el coseno como funciones pares e impares).

Ahora bien, este problema parece muy complicado, pero en realidad es muy simple. De hecho, no necesitamos utilizar la integración por partes para resolver. Preferiríamos utilizar la sustitución u para facilitar mucho el problema.

Sea u = x 2 àdu = 2xdx; ½ du = xdx

Si te preguntas cómo encontré la integral para esta función trigonométrica, me expandiré más en la próxima publicación cuando tratemos la integración de funciones trigonométricas.

En este caso necesitamos usar la integración por partes y para simplificar el cálculo, también usaré una identidad trigonométrica para cambiar mi expresión hacia algo más manejable. Sea u = x àdu = dx; dv = tan 2 (x)dx; ¿v =? para encontrar la primitiva de tan 2 (x) sustituiré la función por una identidad.

Si lees mi post sobre “antiderivadas” podrás encontrar la antiderivada de la sec2 (x) que es tan(x), quedando así la antiderivada de tan2(x) = tan(x) – x y esta es v.

Al evaluar la integral a medida que avanzamos evitamos agrupar el problema, lo que a su vez simplifica las cosas.

El valor de tan (π/3) y sec(π/3) no es fácil de encontrar. Generalmente la gente memoriza estos valores o usa una calculadora, en mi caso tengo una tabla diseñada con los valores comunes para los ángulos más comunes. Si alguien está interesado, hágamelo saber y puedo compartirlo en una publicación o en la sección de comentarios.

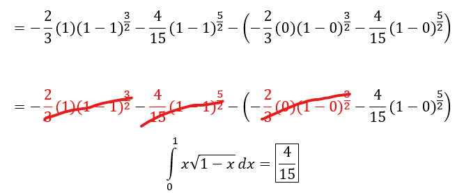
Mantengamos la tendencia y usemos la integración por partes en este caso. Sea u = x àdu = dx; dv = √ (1 – x). para una mejor comprensión se puede reescribir como dv = (1 – x) ½ dx à v = –2/3 (1 – x) 3/2. Para este caso voy a encontrar la solución completa de la integral y luego la evaluaré para ver cómo se compara con la anterior.

Ahora podemos evaluar.

Esta integral requerirá que integremos varias veces, por lo que es mejor evaluar a medida que avanzamos para evitar saturar nuestro problema. Por supuesto, eso depende de la persona que resuelve el problema. Si te sientes más cómodo resolviendo todo al final también es bueno.

Sea u = x3 à du = 3x2dx; dv = cos(2x)dx à v = sin(2x)/2

Apliquemos nuevamente la integración por partes. Tenga en cuenta que sin(π) = 0 y cos(π) = –1.

Sea u = x2 à du = 2xdx; dv = sin(2x) dx à v = –cos(2x)/2

Una vez más aplicamos la integración por partes.

Sea u = x à du = dx; dv = cos(2x) dx à v = sin(2x)/2

La integral final es fácil de evaluar y no necesitamos aplicar la integración por partes. Así que finalmente podemos resolver todo.

Este es otro problema que parece intimidante, pero es bastante simple. No necesitamos usar la integración por partes porque la sustitución en u la simplificará.

Sea u = √x à du = ½ (x) –½ dx tal que 2du = dx/√x

























lunes, 13 de noviembre de 2023

Técnicas de Integración: Integración por Partes

    En publicaciones anteriores analizamos métodos para integrar una variedad de funciones, uno de ellos es el método de sustitución y el teorema fundamental del cálculo. Este último nos dice cómo evaluar una integral definida usando antiderivadas. En la tabla 1 se presenta una versión resumida de lo que hemos estudiado hasta ahora.

Tabla 1. Integrales indefinidas previamente exploradas.

Para evaluar funciones más complicadas, crearemos otra técnica importante para encontrar antiderivadas para muchas combinaciones de funciones.

Integración por partes

La integración por pares es una técnica para simplificar integrales de la forma.

La técnica es más útil cuando f se puede diferenciar repetidamente y g se puede integrar repetidamente sin dificultad. Como cualquier otro método, el propósito de la integración por partes es encontrar una expresión que sea más simple que la integral dada.

Ej1. Encontrar ∫x cos(x)dx

Si etiquetamos la función f(x) = x y g(x) = cos(x) encontramos que f(x) se puede derivar repetidamente sin dificultad y se puede utilizar la integración por partes. Funciones como ln(x), e x también funcionan con el método de integración por partes. Ahora que sabemos qué tipo de funciones se pueden usar, descubramos cómo usamos el método de integración por partes. Comencemos usando la forma de diferenciación de la regla del producto.

Si f y g son funciones derivables de x, la regla del producto establece.

Donde f'(x) y g'(x) son las derivadas df /dx y dg/dx.

En términos de integrales indefinidas.

O

Reorganizando

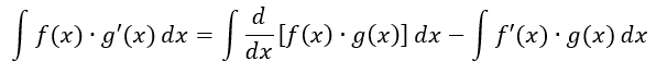
Conduciendo a la fórmula de integración por partes.

(1)

Si consideras difícil recordar esta fórmula, también podemos escribirla en forma diferencial usando sustitución u. Así lo aprendí y lo memoricé.

Sean u = f(x) y v = g(x) tales que du = f'(x)dx y dv = g'(x)dx

Podemos reescribir la ecuación 1.

(2)

El objetivo de la integración por partes es pasar de una integral udv que no sabemos cómo evaluar a una integral vdu que sí podemos evaluar. Para que este método sea más efectivo recomendamos elegir dv primero. Este debe contener la mayor cantidad de integrando que puedas integrar. serás el sobrante.

Ej1. Encontrar ∫x cos(x)dx

Hay cuatro opciones disponibles para u y dv.

  1. Sea u = 1 y dv = x cos(x)dx 
  2. Sea u = x y dv = cos(x)dx
  3. Sean u = x cos(x) y dv = dx
  4. Sea u = cos(x) y dv = xdx

    Si elegimos 1 para integrar, obtenemos du = 0 y dv es la función que estamos tratando de encontrar, así que terminamos en el mismo lugar.

    Si elegimos 3 para integrar, entonces du = cos(x) – x sen(x) y dv = dx à v = x.

    La nueva integral es incluso más complicada que la anterior, por lo que no es una buena dirección para seguir. La opción 4 tampoco es muy buena, por lo que nos queda la opción 2.

    Si elegimos 2 para integrar; u = x y dv = cos(x)dx à du = dx y v = sin(x).

Ahora tenemos una expresión que satisface la condición y parece menos complicada que la expresión anterior ya que ya no depende de la integración. Encontrar una expresión más simple no siempre es intuitivo y la elección de u y dv afectará el resultado, como vimos en el ejemplo 1. Recomiendo elegir una u cuya derivada se haga más pequeña o simple, y una dv cuya antiderivada estes muy familiarizada. Se ha propuesto una regla general que consiste en elegir como u la función que aparece en primer lugar en la siguiente lista.

L – función logarítmica.

I – función trigonométrica inversa (incluido el análogo hiperbólico).

A – funciones algebraicas (polinomios).

T – funciones trigonométricas (incluidas las análogas hiperbólicas).

E Exponenciales.

En nuestro ejemplo 1 tenemos un polinomio antes de nuestra función trigonométrica, por lo que seguir la regla de LIATE u = x es nuestra mejor opción, y se demostró cuando resolvimos usando la opción 2.

En ocasiones debemos utilizar la integración por partes más de una vez.

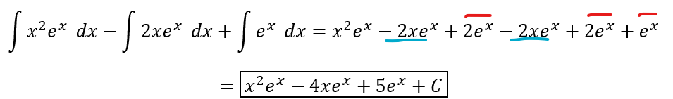
Ej2. Evaluar ∫ x2ex dx

Usando la regla LIATE podemos elegir u = x2, dv = ex dx tal que du = 2xdx y v = ex

La nueva integral es menos complicada que la original, pero aún tenemos que resolverla, así que apliquemos la integración por partes nuevamente con u = x, dx = ex dx luego du = dx , v = ex

Sumando todo obtenemos.

Esta técnica funciona para cualquier integral xn ex dx donde n sea un número entero positivo.

A veces, al utilizar la integración por partes, podemos terminar regresando a la integral original y sentirnos atrapados en un ciclo sin fin, pero en esos casos la solución es bastante simple.

Ej3. Evaluar ∫ ex cos(x)dx

Usando LIATE elegimos nuestro u = cos(x) y dv = ex dx, tal que du = sin(x)dx y v = ex.

Hay que volver a aplicar la integración por partes.

U = sin(x); dv = ex dx à du = cos(x) dx; v = ex

La integral desconocida ahora es la misma integral con la que empezamos. Ahora podemos seguir bajando por la madriguera del conejo y usar la integración por partes una y otra vez, pero esto demuestra que la integral está dando vueltas. Afortunadamente, esta es una ecuación (verifique el signo de igualdad) y podemos agrupar términos semejantes de manera que

Dividiendo ambos lados por 2 obtenemos una solución para la integral desconocida.

Ej4. Resuelve cosn(x)dx para obtener una fórmula que exprese la integral donde n es un número entero positivo.

En problemas como este podemos usar algo llamado fórmula de reducción porque reemplaza una integral que contiene alguna potencia de una función con una integral de la misma forma con la potencia reducida. Para esto usaremos la técnica de multiplicar por una expresión que sea igual a 1.

Comencemos reescribiendo la función.

Podemos hacer esto porque la expresión básicamente se multiplica por 1. Esta nueva expresión tiene su potencia reducida por lo que ahora podemos colocarla en la integral y usar la integración por partes.

Dejar u = cos n–1 (x) dv = cos(x) dx; du = (n – 1) cos n –2 (x) (–sen(x)) dx; v = sin(x)

Podemos usar una identidad trigonométrica para simplificar la expresión.

La integral final es la integral original con la que comenzamos más el término extra (n – 1), y sabemos qué hacer en estos casos.

Puede que esta expresión no parezca bonita, pero es muy útil para resolver cualquier integral de esta forma. Digamos que n =2.

Evaluación de integrales definidas por partes

Podemos usar la integración por partes para evaluar la integral definida en un límite dado.

(3)

Normalmente usamos la notación u y v porque es más fácil de recordar.

(4)

Ej5. Evaluar

Usando LEITA u = x, dv = e– x dx ; du = dx y v = –e –x entonces.

En el próximo post veremos más ejemplos de integración por partes.