lunes, 10 de octubre de 2022

Funciones Hiperbólicas

Las funciones hiperbólicas son análogas a las funciones trigonométricas ordinarias, pero se definen usando la hipérbola en lugar del círculo.

Las funciones hiperbólicas básicas son:

  • Seno hiperbólico "sinh"
  • Coseno hiperbólico "cosh"

De los que se derivan.

  • Tangente hiperbólica "tanh"
  • Cosecante hiperbólica "csch"
  • Secante hiperbólica "sech"
  • Cotangente hiperbólica "coth"

Las funciones hiperbólicas inversas son:

  • Área del seno hiperbólico "arsinh" (también denominado "sinh−1", "asinh" o, a veces, "arcsinh").
  • Área de coseno hiperbólico "arcosh" (también denominado "cosh−1", "acosh" o, a veces, "arccosh").
  • Y así.

Podemos definir funciones trigonométricas usando la fórmula de Euler y también se puede hacer de manera similar para funciones hiperbólicas.

Las funciones hiperbólicas también tienen funciones de identidad similares a las trigonométricas y se pueden probar usando su definición de Euler.
Otras identidades que puede intentar probar.

Las seis funciones hiperbólicas, al ser combinaciones racionales de las funciones diferenciables ex y e-x, tienen derivadas en cada punto en el que están definidas. Las derivadas se pueden encontrar usando su definición.

Podemos usar esta definición para calcular la derivada de la cosecante.

Si definimos u como una función de x tal que eu(x).
Lo que básicamente agrega solo un du/dx a todos sus derivados regulares. Todas las demás funciones se calculan de manera similar.
Al igual que las funciones trigonométricas regulares, las funciones hiperbólicas también tienen función inversa. Su convención de nombres es similar a la trigonométrica, ya que siguen los mismos símbolos y estilo de nomenclatura. Sus derivados son los siguientes:
Con estas herramientas ahora podemos calcular sus integrales en forma simple.

Ejemplo. Evaluar

Podemos sustituir u = 2x à du = 2dx, a = √3 para comparar qué fórmula se parece.


La ecuación se parece al seno inverso hiperbólico.








lunes, 19 de septiembre de 2022

Funciones Logarítmicas

    Sabemos que en matemáticas tenemos 2 clases de logaritmos: el logaritmo común y el logaritmo natural. El logaritmo natural, representado como ln, tiene como base la constante de Euler e con un valor aproximado de 2.718281828459. El logaritmo común, representado como log, tiene una base generalmente de 10 pero puede ser cualquier número. Aunque sus bases difieren, sus propiedades se mantienen.

Log(A∙B) = log(A) + Log(B)

Ln(A∙B) = ln(A) + Ln(B)

    Por ahora, mi preocupación está asociada con esto. Sus propiedades se aplican de la misma manera y, por lo tanto, las siguientes propiedades para explorar afectan ambos logaritmos por igual, pero para mi cordura y simplicidad usaré el logaritmo natural en lugar del logaritmo común.

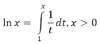
    La función ex es una función exponencial general cuya gráfica tiene una pendiente 1 cuando cruza el eje x. Su función inversa se llama logaritmo natural. El valor de este logaritmos se puede expresar como una integral de la forma.

    Del teorema fundamental del cálculo, ln x es una función continua, analizando de la geometría ln x es el área bajo la curva y =1/t si x > 1 de t = 1 a t = x. si x ≤ 0 la función no está definida y para 0 < x < 1 el área bajo la curva es negativa.
    Por la primera parte del teorema fundamental del cálculo.

    Si u es una función diferenciable de x, podemos aplicar la regla de la cadena.

    Si ln |x| para x ≠ 0, entonces.

    Lo que significa que dada una función diferenciable u que nunca es cero.
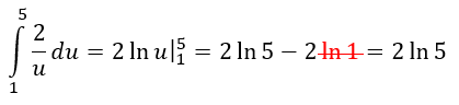
Ejemplo.

    Sea u = 3 + 2 sin θ; du = 2 cos θ dθ, y cuando u(π/2) = 5; u(-π/2) = 1

    ¿Cuál es la integral de tan x?

    Sea u = cos x; du = - sin x dx


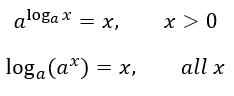
Logaritmo con base a
    Para cualquier número positivo a ≠ 1 el logaritmo de x con base a se denota por  {\log _a}\,x es la inversa de la función exponencial ax tal que

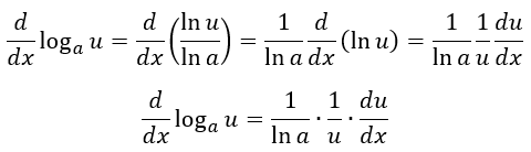
    La función {\log _a}\,x es simplemente un múltiplo numérico de ln x.
    Con esto podemos concluir.
    Hallar derivadas o integrales que involucren base a logaritmo. Los convertimos a logaritmo natural. Si u es una función diferenciable de x.
Ejemplo.  \frac{d}{{dx}}{\log _{10}}\left( {3x + 1} \right).

    Sea u = 3x + 1 y a = 10


    Reescribir la función


    Sea u = ln x; du = 1/x

Ahora pueden seguirnos y contactarnos a través de Facebook, Twitter y correo electrónico.

 

 

También pueden seguir nuestro otro blog si les interesa aprender sobre el interesante mundo de la física. 

 

lunes, 5 de septiembre de 2022

Función Trigonométrica Inversa

    Las funciones trigonométricas relacionan un ángulo de un triángulo rectángulo con las proporciones de las longitudes de dos lados, al conocer el ángulo podemos calcular la proporción de dos lados cualesquiera de un triángulo rectángulo. Estas funciones son seno, coseno, tangente, cotangente, secante y cosecante. Algunas de estas funciones están escritas en términos de otras funciones y pueden escribirse en forma compleja usando la fórmula de Euler:

    Podemos memorizar las proporciones o calcularlas en base a su compleja definición siempre que los ángulos se escriban en radianes en lugar de grados.

    En matemáticas hasta ahora, hemos visto que cada operación tiene múltiples enfoques y la memorización es un buen atajo pero no una herramienta imprescindible para hacer las operaciones. Otra propiedad importante de las matemáticas es que la mayoría de las operaciones (las que hemos cubierto hasta ahora) son reversibles. Puedes ir y venir y aprender cosas nuevas al respecto. Las operaciones que son reversibles se consideran tener una operación inversa.
    Ya conocemos las operaciones inversas. Por ejemplo, la suma y la resta son operaciones inversas entre sí. La idea es la misma en trigonometría. Las funciones trigonométricas inversas hacen lo contrario de las funciones trigonométricas "normales". En general, si conoce la relación trigonométrica pero no el ángulo, puede usar la función trigonométrica inversa correspondiente para encontrar el ángulo.
¡Alerta de malentendidos!
    La expresión sin-1(x), no es lo mismo que 1/sin(x). En otras palabras, el −1 no es un exponente. En cambio, simplemente significa función inversa. Otra forma de representar las funciones trigonométricas     inversas es con el uso del prefijo arc- que posee la misma connotación que -1 (sin-1 = arcsin).
Dado que ninguna de las seis funciones trigonométricas es uno a uno, deben estar restringidas para tener funciones inversas. Por lo tanto, los rangos de resultados de las funciones inversas son subconjuntos de los dominios de las funciones originales.

Nombres

Notación

Definición

Rango en radianes

arco seno

y = arcsin (x)

x = sin (y)

- π/2 <y < π/2

arco coseno

y = arccos (x)

x = cos(y)

0 < y < π

arco tangente

y = arctan (x)

x = tan(y)

- π/2 < y < π/2

arco cotangente

y = arccot (x)

x = cot(y)

0 < y < π

arco secante

y = arcsec (x)

x = sec(y)

0 < y < π/2 ó π/2 < y < π

arco cosecante

y = arccsc (x)

x = csc(y)

- π/2 < y < 0 ó 0< y < π/2


    Ahora que entendemos qué son las funciones trigonométricas inversas, veamos sus propiedades derivadas e integrales.
  •    Si f(x) y g(x) son funciones inversas entre sí (f(g(x)) = x y g(f(x)) = x), entonces la derivada g'(x) se puede obtener usando la siguiente fórmula.
    En el caso del seno inverso, tenemos.
    Esta no es una fórmula muy útil. Veamos si podemos conseguir una fórmula mejor. Comencemos recordando la definición de la función seno inversa.
    Usando la primera parte de esta definición, el denominador en la derivada se convierte en,
    Ahora podemos aplicar

    Usando la segunda parte de la definición de la función seno inversa, el denominador se convierte en.
    Poniendo todo esto junto, hemos encontrado la derivada para el arco seno.
    Aplicamos el mismo método para encontrar todas las demás derivadas y las compilamos en una tabla.


    Pero, ¿y si la función inversa tiene una función de x en lugar de un valor como u(x)? ¿Cómo afectaría esto a la derivada?
    Lo bueno es que el cambio no es tan grande simplemente tenemos que aplicar la regla de la cadena. Para ver esto, podemos reescribir las fórmulas anteriores en una más general para ver cómo se verán afectadas.
    Sea u = u(x). las derivadas de las funciones trigonométricas inversas con respecto a x son.


    Ahora las derivadas no son solo para valores de x sino para todo tipo de funciones que dependen de x. Ahora que conocemos las derivadas, podemos usarlas para encontrar integrales del mismo tipo.
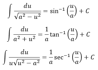
    Sea a cualquier número distinto de cero y u una función de x.
    Ahora lo más importante es poder reconocer este patrón con otras funciones. Examinemos algunos ejemplos.

Sea u2 = x2 à u = x y du = dx; a2 = 16 à a = 4.

Sea u2 = 4x2 à u = 2x reescribiendo x = u/2 and du = 2dx; a2 = 1 à a = 1.

    ¿Qué pasa con una integral de esta forma?
    Para resolver este problema, utilizamos una técnica llamada integración por partes que aún no hemos explorado. Entonces, por ahora lo mantendremos en espera hasta que expliquemos esta técnica y haremos ejemplos de estas funciones inversas.

Ahora pueden seguirnos y contactarnos a través de Facebook, Twitter y correo electrónico.

 

 

También pueden seguir nuestro otro blog si les interesa aprender sobre el interesante mundo de la física.