Mostrando las entradas con la etiqueta limites de integrales. Mostrar todas las entradas
Mostrando las entradas con la etiqueta limites de integrales. Mostrar todas las entradas

lunes, 23 de mayo de 2022

Límites de integración en el método de Sustitución y área entre curvas

    Sigamos con otro ejemplo.


    Quiero intentar encontrar el límite de esta expresión usando dos sustituciones diferentes. La primera sustitución será u = z2 + 1 à du = 2z dz, así que reescribamos y evaluemos nuestra integral.


    Ahora quiero intentar una sustitución diferente; u = \sqrt[3]{{{z^2} + 1}}  à u3 = z2 +1; 3u2 du = 2z

    Obtuvimos la misma respuesta que era de esperar porque esta es la solución más general.
    Volviendo a las integrales definidas, existen dos métodos para evaluar una integral definida por sustitución. Un método es encontrar una antiderivada usando sustitución y luego evaluar la integral definida aplicando el Teorema de Evaluación. Hemos usado este método constantemente ya que es muy simple, el otro método extiende el proceso de sustitución directamente a integrales definidas al cambiar los límites de integración.
  • Teorema: Si g’ es continua en el intervalo [a, b] y f es continua en el rango de g(x) = u, entonces
    Para usar la fórmula, haga la sustitución u = g(x) y du = g’(x) dx que usaría para evaluar la integral indefinida correspondiente. Luego evalúa la sustitución en los puntos x = a y x = b para obtener los nuevos puntos g(a) y g(b).
Ejemplo 1. Evaluar \int\limits_{ - 1}^1 {3{x^2}\sqrt {{x^3} + 1} \,dx}.

Sea u = x3 +1, du = 3x2 dx

Cuando x = -1, u = (-1)3 + 1 = 0

Cuando x = 1, u = (1)3 +1 = 2

Así que los nuevos límites de la integral son.

    ¿Qué método es mejor? En general, es mejor conocer ambos métodos y usar el que parezca mejor en ese momento, ya que cada integral es diferente y puede requerir diferentes enfoques.

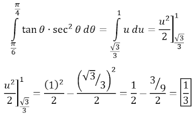
Ejemplo 2 Evaluar \int\limits_{\pi /6}^{\pi /4} {\tan \theta  \cdot {{\sec }^2}\theta \,d\theta }

Sea u = tan θ, du = sec2 θ dθ

Cuando θ = π/4, u = tan(π/4) = 1

Cuando θ = π/6, u = tan(π/6) = √3/3

    Este teorema tiene otra implicación importante. Simplifica el cálculo de integrales definidas de funciones pares e impares en un intervalo simétrico [-a, a]. Un intervalo simétrico es fácil de detectar debido a la distribución de puntos.

Sea f continua en el intervalo simétrico [-a, a]

Si f es par, entonces \int\limits_{ - a}^a {f(x)\,dx = 2\int\limits_0^a {f(x)dx} }.

Si f es impar, entonces \int\limits_{ - a}^a {f(x)\,dx = 0}

    Puedes practicar para encontrar la prueba de esta afirmación usando la sustitución u y dividiendo la integral en dos regiones: a ≤ x ≤ 0 y 0 ≤ x ≤ a.

  • Evaluar \int\limits_{ - 2}^2 {({x^4} - 4{x^2} + 6)dx}
    Podemos evaluar la integral tal como es, o podemos confirmar para ver si la función es par o impar. Para eso sustituimos la variable de la función por su negativo à -x y si obtenemos a cambio la función original la función es par, si obtenemos la función con sus signos cambiados la función es impar. Para este caso:

f(x) = x4 – 4x2 + 6  à f(-x) = (-x)4 – 4(-x)2 + 6 = x4 – 4x2 + 6 

Podemos decir f(-x) = f(x) por lo tanto la función es par

    Puedes confirmar este resultado simplemente tomando la integral sin reducir los límites del intervalo.
Área entre curvas

    Supongamos que queremos encontrar el área de una región que está limitada por arriba por la curva y1 = f(x), por abajo por la curva y2 = g(x), y por la izquierda y la derecha por las líneas x = a y x = b. La región puede tener accidentalmente una forma cuya área podamos encontrar con geometría como en la figura A, pero si ƒ y g son funciones continuas arbitrarias, por lo general tenemos que encontrar el área con una integral como en la figura B.

    El área delimitada por estas dos funciones viene dada por la diferencia entre la curva superior y la curva inferior

y1 – y2 = f (x) – g (x)

    Para ver cuál debería ser la integral, usamos la misma técnica que usamos cuando definimos la integral. primero aproximamos la región con n rectángulos verticales basados en una partición P = {x0, x1, …, xn} de [a,b]. el área del k-ésimo rectángulo es.

∆Ak = Altura × ancho = [f (ck g(ck )]∆xk

    Al sumar áreas de los n rectángulos, creamos nuestra suma de Riemann para aproximar el área.


    Como ||P|| à 0 las sumas se acercan al límite, dando así el área de la región para ser el valor de la integral.
  • Si f y g son continuas con f(x) ≥ g(x) a lo largo de [a, b], entonces el área de la región entre las curvas es la integral de (f – g) de a a b.

    Al aplicar esta definición, es útil graficar las curvas. El gráfico revela qué curva es la curva superior ƒ y cuál es la curva inferior g. También te ayuda a encontrar los límites de integración si no se dan. Es posible que deba encontrar dónde se cruzan las curvas para determinar los límites de integración, y esto puede implicar resolver la ecuación f(x) = g(x).

Ejemplos 3.
  • Encuentre el área de la región limitada arriba por la curva  y = 2e-x + x, abajo por la curva y = ex/2, a la izquierda por x = 0 y a la derecha por x = 1.
    En este primer ejemplo no necesitamos la gráfica ya que se nos ha dado toda la información esencial, por lo tanto podemos proceder a evaluar la integral.
    El valor de esta área corresponde a la siguiente figura.
  • Encuentra el área de la región encerrada por la parábola y = 2 – x2 y la recta y = -x
    En este caso no nos dan los límites de integración y no sabemos qué función corresponde al límite superior o inferior, por lo que primero debemos dibujar las dos curvas e igualar las dos funciones para encontrar los límites de integración. .
    El área sombreada nos dice que el límite superior es la función y = 2 – x2 y el límite inferior en la función y = – x. También muestra que los puntos de intersección de las funciones ocurren en x = -1 y x = 2, estos podrían ser los límites de integración, así que confirmemos resolviendo la ecuación.
    Como era de esperar por lo que pudimos analizar del gráfico. Ahora tenemos todo lo que necesitamos para resolver nuestra integral.
    Si la fórmula de una curva delimitada cambia en uno o más puntos, subdividimos la región en subregiones que correspondan a los cambios de fórmula y aplicamos la fórmula del área entre curvas a cada subregión. Trabajemos un ejemplo un poco más complicado esta vez para ver esta propiedad.
  • Encuentre el área en el primer cuadrante que está delimitada por la función y = √x y y = x – 2.
Primero, dibujamos el gráfico.
    Como solo nos interesa el primer cuadrante de la gráfica, esto muestra que el límite superior de la región es la gráfica de y = √x. el límite inferior, por otro lado, cambia de g(x) = 0 para 0 ≤ x ≤ 2 a g(x) = 2 – x para 2 ≤ x ≤ 4. Así que subdividimos la región en x = 2 en la subregión A y B.
    Los límites de integración para la región A son a = 0 y b = 2. El límite izquierdo para la región B es a = 2. Para encontrar el límite derecho, igualamos las funciones entre sí.
    El valor x = 1 es una raíz fuera del límite de la función, por lo que solo el valor x = 4 satisface la ecuación. El límite de la derecha es b = 4.
    Puede apreciar que se tomaron muchos pasos para resolver este problema.

Integración con respecto a y

    Si las curvas delimitadoras de una región se describen mediante funciones de y, los rectángulos de aproximación son horizontales en lugar de verticales y la fórmula básica tiene y en lugar de x. la formula de la integral cambia sus variables.
    En esta ecuación, f siempre denota la curva de la derecha y g la curva de la izquierda, por lo que f(y) – g(y) no es negativa. Vamos a calcular la integral de nuestro ultimo ejemplo, para ello debemos modificar la ecuacion haciendo y la variable dependiente.

y = √x à x = y2; y = x – 2 à x = y + 2

    Como las variables en este caso han sido invertidas, límite de la derecha x = y + 2 mientras que el límite de la izquierda es x = y2; el límite inferior de integración es c = 0 mientras que el límite superior debemos encontrarlo.

    El límite superior es d = 2 ya que -1 esta fuera del intervalo permitido. Ahora si podemos construir nuestra integral y resolverlo.

    Como podemos ver obtenemos el mismo valor para el área ya que estamos trabajando el mismo problema, pero fue mucho mas fácil, es decir que hay casos donde la integración de una variable es más simple que la otra. Esto es muy importante a recordar pues será útil en integraciones de múltiples dimensiones más adelante. 

Ahora pueden seguirnos y contactarnos a través de Facebook, Twitter y correo electrónico.

 

 

También pueden seguir nuestro otro blog si les interesa aprender sobre el interesante mundo de la física. 

 

martes, 15 de marzo de 2022

Integrales parte 2

Límites De Sumas Finitas

    Las aproximaciones de suma finita que consideramos se volvieron más precisas a medida que aumentaba el número de términos y se reducían los anchos de los subintervalos, pero ¿qué sucede si consideramos un caso en el que el número de casos crece hasta el infinito y el valor del ancho se reduce a cero? En casos como este, donde los números que estamos considerando son infinitesimalmente pequeños o grandes, usamos los límites.

    Tomando nuestro ejemplo de la semana pasada, podemos encontrar el valor límite de las aproximaciones de suma inferior al área de la región debajo del gráfico y arriba del intervalo [0, 1] en el eje x usando rectángulos de igual ancho cuyos anchos se acerquen a cero y cuyo número se acerca al infinito.

    Podemos calcular una aproximación de suma menor usando n rectángulos de igual ancho ∆x = (1 – 0)/n y vemos lo que sucede cuando n à Comenzamos subdividiendo [0, 1] en n subintervalos de igual ancho

    Cada subintervalo tiene un ancho de 1/n. La función y = 1 – x2 es decreciente en [0, 1], y su valor más pequeño en un subintervalo ocurre en el extremo derecho del subintervalo. Entonces, se construye una suma menor con rectángulos cuya altura sobre el subintervalo \left[ {\frac{{k - 1}}{n},\frac{k}{n}} \right] es f(k/n) = 1 - (k/n)2 dando la suma

    Reescribiendo en notación sigma

    Ahora podemos simplificar este problema aplicando algunas de las propiedades de las sumas finitas

    Aplicamos la regla de la resta y como 1/n es solo una constante, aplicamos las propiedades de valor y múltiplo constantes. Ahora, la suma restante es simplemente una suma de los primeros n cuadrados, que es una suma especial que se está reescribiendo, así como la suma de los primeros n cubos.

Los primeros n cuadrados

Los primeros n cubos

    Y si desean ver la derivación de esta fórmula, puedo crear una publicación adicional esta semana, pero deben informarme en sus comentarios. Mientras tanto, continuemos con nuestro ejercicio.

    Ahora tenemos una expresión para la suma inferior que vale para cualquier n. todo lo que nos queda por hacer es evaluar el límite como n à y ver si la suma converge.

    Aplicando algunas propiedades de los límites lo dividimos en secciones para un mejor análisis.

    El límite como n à de 1/n es cero. Entonces, estos términos se cancelan.

    Las aproximaciones de suma inferior convergen a 2/3. Un cálculo similar muestra que las aproximaciones de la suma superior también convergen a 2/3. Cualquier aproximación de suma finita también converge al mismo valor 2/3.

Sumas De Riemann

    La teoría de los límites de las aproximaciones finitas fue precisada por el matemático alemán Bernhard Riemann utilizando lo que hoy se conoce como sumas de Riemann. esta teoría que subyace a la integral definida permite subdividir cualquier función arbitraria sobre un intervalo cerrado que puede tener valores positivos y negativos en subintervalos, no necesariamente de igual amplitud y formar sumas de la misma forma que para las aproximaciones finitas.

    Comenzamos con una función acotada arbitraria ƒ definida en un intervalo cerrado [a, b]. Subdividimos el intervalo [a, b] en subintervalos, no necesariamente de igual ancho y formamos sumas de la misma forma que para las aproximaciones finitas, para ello elegimos n -1 puntos {x1, x2, x3, …, xn-1} que satisface

a < x1 < x2 < x3 < … < xn-1 < b

    Si desea que la notación sea consistente, puede denotar a por x0 y b por xn.

a = x0 < x1 < x2 < x3 < … < xn-1 < xn = b

 

el conjunto

P = {x0, x1, x2, x3, …, xn-1, xn}

    Se llama partición. La partición divide la región [a, b] en n subintervalos. En cada subintervalo seleccionamos algún punto. El punto elegido en el subintervalo k-ésimo se llama ck. Luego, en cada subintervalo, colocamos un rectángulo vertical que se extiende desde el eje x para tocar la curva en (ck, f(ck)). En cada subintervalo formamos el producto f(ck)∆xk y finalmente sumamos todos estos productos.

    Esta suma se llama suma de Riemann. La idea es que no importa cómo elijamos las particiones o los puntos ck mientras las normas se acerquen a cero. Todas las opciones dan exactamente el mismo límite. Personalmente prefiero trabajar con particiones de igual ancho para simplificar mis cálculos, pero esto es una elección arbitraria, les recomiendo que si quieren mejorar practiquen estos ejemplos usando particiones de diferentes anchuras.

La Integral Definida

    Sea f(x) una función definida en un intervalo cerrado [a, b]. decimos que J es la integral definida de f sobre [a, b] y que J es el límite de las sumas de Riemann si se cumple la siguiente condición:

    Para cualquier número ϵ > 0 existe un número correspondiente δ > 0 tal que para cada partición P = {x0, x1, …, xn} de [a, b] con norma ||P|| < δ y cualquier elección de ck en [xk-1, xk] tenemos 

    Esta definición es muy técnica en lenguaje, pero básicamente lo que implica es un proceso limitante en el que la norma de la partición va a cero. El ancho está determinado por la diferencia entre los dos extremos, por lo que en el caso del primer subintervalo ∆x1 = x1 - x0, y el ancho del segundo se denota por ∆x2=x2 - x1, y así sucesivamente, pero en los casos en que todos los subintervalos tienen el mismo ancho, tenemos ∆x = (b – a)/n y la suma de Riemann se convierte en

    Si el límite cuando n à existe y es igual a J, entonces J es la integral definida de f en el intervalo [a, b].

    En el límite, el símbolo de la suma se reemplaza por el símbolo de la integral. Esta notación fue introducida por Leibniz. Los valores de la función f(ck) se reemplazan por una selección continua de valores de la función f(x) y el ancho del subintervalo se convierte en el diferencial dx (recuerde que los pequeños cambios en el límite se representan como derivadas)

    En nuestro ejemplo estamos evaluando la función 1 – x2 en el intervalo [0, 1]. Podemos representarlo usando la notación integral como esta.

    Su evaluación se hace usando las antiderivadas. Debemos encontrar la antiderivada de la función y luego evaluar en la diferencia de los puntos finales del intervalo. Para este caso las antiderivadas son fácil de encontrar.

    En el caso del límite de la suma de Riemann, lo representamos como

    Donde debemos elegir una partición para el intervalo si queremos resolverlo. Puedo elegir una partición de igual ancho para todos y usar la ecuación ∆x = (b – a)/n donde a y b son los extremos así que obtengo.

    Entonces mi partición será

    Ahora elijo un punto ck basada en el ancho que es 1/n en cada sección.  Así que tengo ck = k/n  

    Con manipulación algebraica tenemos la siguiente expresión 

    Esto es exactamente lo mismo que obtuvimos cuando calculamos el límite de sumas finitas, por lo que su resultado será también el mismo. Indicando que este es el valor real del área.

    Al definir  \int\limits_a^b {f(x)dx}  como un límite de sumas  \sum\limits_{k = 1}^n {f\left( {{c_k}} \right)\Delta {x_k}}  , nos movimos de izquierda a derecha a lo largo del intervalo [a, b]. pero si nos movemos de derecha a izquierda haciendo las mismas elecciones para cada punto, obtendremos el mismo resultado con un cambio de signo. por lo tanto, podemos concluir.

Orden de integración

    Solo definimos la integral sobre un intervalo [a, b] cuando a < b, pero en el caso cuando a = b ese es el intervalo tiene ancho cero. Esto da ∆x = 0.

Intervalo de ancho cero

    Tenemos otras propiedades que pueden ser útiles al evaluar funciones complicadas.

Múltiplo constante

Cualquier constante k

Suma y Resta

Aditividad

Desigualdad Max-Min

    Si f tiene el valor máximo max f y el valor mínimo min f en [a. b], entonces

Dominación

    Ejemplo. Calcule  \int\limits_0^b {x\,dx}  y encuentre el área debajo de y = x sobre el intervalo [0, b], b > 0.

    Si hacemos una gráfica de esta función, vemos que el área sombreada es un triángulo. Entonces, usando nuestras técnicas podemos calcular esta área de dos maneras con el límite de las sumas de Riemann y con la integral definida.

    Usando el límite de las sumas de Riemann, debemos calcular para particiones cuya norma tiende a cero. Dado que no importa cómo elijamos nuestra partición, elegiré subintervalos de igual ancho por simplicidad.

    Elegí ck como el punto final derecho en cada intervalo y mi partición ahora se ve así.

    Ahora podemos aplicar las propiedades que aprendimos de nuestra publicación anterior.

    Tomando el límite cuando n à obtenemos 

    Este mismo resultado lo obtenemos si aplicamos el signo integral y sus técnicas.

    Me disculpo por toda la teoría y el lenguaje técnico. Hice todo lo posible para simplificarlo lo más posible y hacerlo aceptable para los lectores. Básicamente, si desea poder usar el método de suma de Riemann, siga mis pasos en los ejemplos con cualquier función y luego intente usar el método integral y compare. Este tema me parece muy importante porque muestra cómo surgió la idea de la integración. Es importante aprenderlo en caso de que nos quedemos atascados con una antiderivada (ya que sinceramente no encuentro otro método que la memorización para aprenderlo) porque la suma de Riemann te permite trabajar cualquier función y llegar a su antiderivada básicamente.

    Cualquier sugerencia por favor déjala en los comentarios, y si te gustó compártela con otras personas para que también puedan aprender de ella. En nuestra próxima publicación, hablaremos sobre el Teorema fundamental del cálculo y, con suerte, le agregaré algunos ejemplos.

Ahora pueden seguirnos y contactarnos a través de Facebook, Twitter y correo electrónico.

 

 

También pueden seguir nuestro otro blog si les interesa aprender sobre el interesante mundo de la física.