martes, 15 de marzo de 2022

Integrales parte 2

Límites De Sumas Finitas

    Las aproximaciones de suma finita que consideramos se volvieron más precisas a medida que aumentaba el número de términos y se reducían los anchos de los subintervalos, pero ¿qué sucede si consideramos un caso en el que el número de casos crece hasta el infinito y el valor del ancho se reduce a cero? En casos como este, donde los números que estamos considerando son infinitesimalmente pequeños o grandes, usamos los límites.

    Tomando nuestro ejemplo de la semana pasada, podemos encontrar el valor límite de las aproximaciones de suma inferior al área de la región debajo del gráfico y arriba del intervalo [0, 1] en el eje x usando rectángulos de igual ancho cuyos anchos se acerquen a cero y cuyo número se acerca al infinito.

    Podemos calcular una aproximación de suma menor usando n rectángulos de igual ancho ∆x = (1 – 0)/n y vemos lo que sucede cuando n à Comenzamos subdividiendo [0, 1] en n subintervalos de igual ancho

    Cada subintervalo tiene un ancho de 1/n. La función y = 1 – x2 es decreciente en [0, 1], y su valor más pequeño en un subintervalo ocurre en el extremo derecho del subintervalo. Entonces, se construye una suma menor con rectángulos cuya altura sobre el subintervalo \left[ {\frac{{k - 1}}{n},\frac{k}{n}} \right] es f(k/n) = 1 - (k/n)2 dando la suma

    Reescribiendo en notación sigma

    Ahora podemos simplificar este problema aplicando algunas de las propiedades de las sumas finitas

    Aplicamos la regla de la resta y como 1/n es solo una constante, aplicamos las propiedades de valor y múltiplo constantes. Ahora, la suma restante es simplemente una suma de los primeros n cuadrados, que es una suma especial que se está reescribiendo, así como la suma de los primeros n cubos.

Los primeros n cuadrados

Los primeros n cubos

    Y si desean ver la derivación de esta fórmula, puedo crear una publicación adicional esta semana, pero deben informarme en sus comentarios. Mientras tanto, continuemos con nuestro ejercicio.

    Ahora tenemos una expresión para la suma inferior que vale para cualquier n. todo lo que nos queda por hacer es evaluar el límite como n à y ver si la suma converge.

    Aplicando algunas propiedades de los límites lo dividimos en secciones para un mejor análisis.

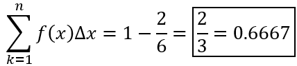
    El límite como n à de 1/n es cero. Entonces, estos términos se cancelan.

    Las aproximaciones de suma inferior convergen a 2/3. Un cálculo similar muestra que las aproximaciones de la suma superior también convergen a 2/3. Cualquier aproximación de suma finita también converge al mismo valor 2/3.

Sumas De Riemann

    La teoría de los límites de las aproximaciones finitas fue precisada por el matemático alemán Bernhard Riemann utilizando lo que hoy se conoce como sumas de Riemann. esta teoría que subyace a la integral definida permite subdividir cualquier función arbitraria sobre un intervalo cerrado que puede tener valores positivos y negativos en subintervalos, no necesariamente de igual amplitud y formar sumas de la misma forma que para las aproximaciones finitas.

    Comenzamos con una función acotada arbitraria ƒ definida en un intervalo cerrado [a, b]. Subdividimos el intervalo [a, b] en subintervalos, no necesariamente de igual ancho y formamos sumas de la misma forma que para las aproximaciones finitas, para ello elegimos n -1 puntos {x1, x2, x3, …, xn-1} que satisface

a < x1 < x2 < x3 < … < xn-1 < b

    Si desea que la notación sea consistente, puede denotar a por x0 y b por xn.

a = x0 < x1 < x2 < x3 < … < xn-1 < xn = b

 

el conjunto

P = {x0, x1, x2, x3, …, xn-1, xn}

    Se llama partición. La partición divide la región [a, b] en n subintervalos. En cada subintervalo seleccionamos algún punto. El punto elegido en el subintervalo k-ésimo se llama ck. Luego, en cada subintervalo, colocamos un rectángulo vertical que se extiende desde el eje x para tocar la curva en (ck, f(ck)). En cada subintervalo formamos el producto f(ck)∆xk y finalmente sumamos todos estos productos.

    Esta suma se llama suma de Riemann. La idea es que no importa cómo elijamos las particiones o los puntos ck mientras las normas se acerquen a cero. Todas las opciones dan exactamente el mismo límite. Personalmente prefiero trabajar con particiones de igual ancho para simplificar mis cálculos, pero esto es una elección arbitraria, les recomiendo que si quieren mejorar practiquen estos ejemplos usando particiones de diferentes anchuras.

La Integral Definida

    Sea f(x) una función definida en un intervalo cerrado [a, b]. decimos que J es la integral definida de f sobre [a, b] y que J es el límite de las sumas de Riemann si se cumple la siguiente condición:

    Para cualquier número ϵ > 0 existe un número correspondiente δ > 0 tal que para cada partición P = {x0, x1, …, xn} de [a, b] con norma ||P|| < δ y cualquier elección de ck en [xk-1, xk] tenemos 

    Esta definición es muy técnica en lenguaje, pero básicamente lo que implica es un proceso limitante en el que la norma de la partición va a cero. El ancho está determinado por la diferencia entre los dos extremos, por lo que en el caso del primer subintervalo ∆x1 = x1 - x0, y el ancho del segundo se denota por ∆x2=x2 - x1, y así sucesivamente, pero en los casos en que todos los subintervalos tienen el mismo ancho, tenemos ∆x = (b – a)/n y la suma de Riemann se convierte en

    Si el límite cuando n à existe y es igual a J, entonces J es la integral definida de f en el intervalo [a, b].

    En el límite, el símbolo de la suma se reemplaza por el símbolo de la integral. Esta notación fue introducida por Leibniz. Los valores de la función f(ck) se reemplazan por una selección continua de valores de la función f(x) y el ancho del subintervalo se convierte en el diferencial dx (recuerde que los pequeños cambios en el límite se representan como derivadas)

    En nuestro ejemplo estamos evaluando la función 1 – x2 en el intervalo [0, 1]. Podemos representarlo usando la notación integral como esta.

    Su evaluación se hace usando las antiderivadas. Debemos encontrar la antiderivada de la función y luego evaluar en la diferencia de los puntos finales del intervalo. Para este caso las antiderivadas son fácil de encontrar.

    En el caso del límite de la suma de Riemann, lo representamos como

    Donde debemos elegir una partición para el intervalo si queremos resolverlo. Puedo elegir una partición de igual ancho para todos y usar la ecuación ∆x = (b – a)/n donde a y b son los extremos así que obtengo.

    Entonces mi partición será

    Ahora elijo un punto ck basada en el ancho que es 1/n en cada sección.  Así que tengo ck = k/n  

    Con manipulación algebraica tenemos la siguiente expresión 

    Esto es exactamente lo mismo que obtuvimos cuando calculamos el límite de sumas finitas, por lo que su resultado será también el mismo. Indicando que este es el valor real del área.

    Al definir  \int\limits_a^b {f(x)dx}  como un límite de sumas  \sum\limits_{k = 1}^n {f\left( {{c_k}} \right)\Delta {x_k}}  , nos movimos de izquierda a derecha a lo largo del intervalo [a, b]. pero si nos movemos de derecha a izquierda haciendo las mismas elecciones para cada punto, obtendremos el mismo resultado con un cambio de signo. por lo tanto, podemos concluir.

Orden de integración

    Solo definimos la integral sobre un intervalo [a, b] cuando a < b, pero en el caso cuando a = b ese es el intervalo tiene ancho cero. Esto da ∆x = 0.

Intervalo de ancho cero

    Tenemos otras propiedades que pueden ser útiles al evaluar funciones complicadas.

Múltiplo constante

Cualquier constante k

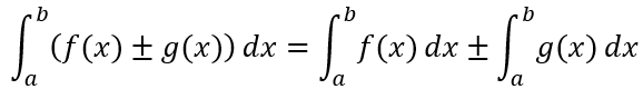
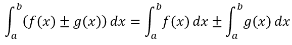
Suma y Resta

Aditividad

Desigualdad Max-Min

    Si f tiene el valor máximo max f y el valor mínimo min f en [a. b], entonces

Dominación

    Ejemplo. Calcule  \int\limits_0^b {x\,dx}  y encuentre el área debajo de y = x sobre el intervalo [0, b], b > 0.

    Si hacemos una gráfica de esta función, vemos que el área sombreada es un triángulo. Entonces, usando nuestras técnicas podemos calcular esta área de dos maneras con el límite de las sumas de Riemann y con la integral definida.

    Usando el límite de las sumas de Riemann, debemos calcular para particiones cuya norma tiende a cero. Dado que no importa cómo elijamos nuestra partición, elegiré subintervalos de igual ancho por simplicidad.

    Elegí ck como el punto final derecho en cada intervalo y mi partición ahora se ve así.

    Ahora podemos aplicar las propiedades que aprendimos de nuestra publicación anterior.

    Tomando el límite cuando n à obtenemos 

    Este mismo resultado lo obtenemos si aplicamos el signo integral y sus técnicas.

    Me disculpo por toda la teoría y el lenguaje técnico. Hice todo lo posible para simplificarlo lo más posible y hacerlo aceptable para los lectores. Básicamente, si desea poder usar el método de suma de Riemann, siga mis pasos en los ejemplos con cualquier función y luego intente usar el método integral y compare. Este tema me parece muy importante porque muestra cómo surgió la idea de la integración. Es importante aprenderlo en caso de que nos quedemos atascados con una antiderivada (ya que sinceramente no encuentro otro método que la memorización para aprenderlo) porque la suma de Riemann te permite trabajar cualquier función y llegar a su antiderivada básicamente.

    Cualquier sugerencia por favor déjala en los comentarios, y si te gustó compártela con otras personas para que también puedan aprender de ella. En nuestra próxima publicación, hablaremos sobre el Teorema fundamental del cálculo y, con suerte, le agregaré algunos ejemplos.

Ahora pueden seguirnos y contactarnos a través de Facebook, Twitter y correo electrónico.

 

 

También pueden seguir nuestro otro blog si les interesa aprender sobre el interesante mundo de la física. 

 


martes, 1 de marzo de 2022

Integrales parte 1 (actualizada)

Estimación de áreas

    En pasadas publicaciones tratamos el tema de “áreas y perímetros”. Para figuras geométricas regulares determinar el área es un proceso bastante simple. Existen fórmulas directas que nos permite determinar este valor (el área de un triángulo es igual a la mitad de su base multiplicada por su altura), pero cuando tenemos figuras geométricas irregulares determinar el área es un proceso más complejo.

    Existen figuras irregulares que podemos conocer su área si la dividimos en secciones y sumamos sus partes,


    En la figura de arriba vemos que podemos partir esta imagen en tres regiones y calcular de esta forma su área total.

    Sin embargo, no todas las figuras irregulares las podemos examinar como estas. Existen figuras que no podemos calcular usando esta técnica o simplemente no tenemos la información suficiente.

    En este caso tenemos una función f(x) dada y queremos determinar el área debajo de la curva de la función en el intervalo (a, b). Determinar el área de esta función dependerá del tipo de función que sea f(x), por lo que este problema se puede hacer bastante complicado usando solamente algebra. Por el resto de esta publicación vamos a trabajar una técnica para aproximar el área de funciones como esta. Esta técnica es importante para el desarrollo de la teoría de integración. Vamos a empezar considerando un ejemplo numérico y de esta vamos a extraer las características esenciales para crear nuestra teoría.

    Supongamos que queremos conocer el área de la región sombreada creada por una función y = 1- x2 en el intervalo x = 0 hasta x = 1. En este tipo de casos no existe un método algebraico especifico ni formula que se pueda usar para calcular el área exacta, pero si podemos aproximarla usando un método bastante simple. Podemos tomar nuestra área sombreada y dividirla en regiones usando rectángulos para calcular la aproximación del área. Si decidimos dividir la figura en dos rectángulos entonces tendremos rectángulos con una anchura de 0.5 y su altura dependerá de su ubicación (el valor de x nos permite conocer el valor de y en la ecuación).

    Su área aproximada es la suma de estas dos regiones.

    Esta estimación es mayor que el área real A, ya que los dos rectángulos contienen regiones fuera de la parte sombreada, y esto se suma a la cantidad calculada. decimos que esta es una suma superior porque se obtiene tomando la altura de cada rectángulo como el valor máximo (superior) de la función. Si analizamos la función de izquierda a derecha, tenemos nuestro primer punto donde toca la gráfica y nos movemos hacia la derecha hasta nuestro segundo punto donde toca la gráfica y nos movemos a la derecha otra al siguiente punto y así sucesivamente. De esta manera creamos una suma superior.

    Supongamos que usamos cuatro rectángulos contenidos dentro de la región para estimar el área.

    Esta estimación es más pequeña que el área A ya que todos los rectángulos se encuentran dentro de la región. La suma de estos rectángulos con alturas iguales al valor mínimo de la función se denomina aproximación de suma inferiorEn este caso analizamos la figura de derecha a izquierda; el primer punto donde toca la grafica y nos movemos a la izquierda hasta el próximo punto y subimos hasta donde toca la grafica y nos movemos de nuevo a la izquierda hasta el siguiente y subimos donde toca la gráfica y así continuamente.

    No siempre vamos a obtener una suma inferior si nos movemos de derecha a izquierda ni una superior si nos movemos de izquierda a derecha, la es que si calculamos desde el punto mas alto de la gráfica hasta el más pequeño entonces tendremos una suma superior y si contamos desde el punto más pequeño de la grafica hasta el punto mas alto entonces tendremos una suma inferior.

    Al considerar las aproximaciones de suma inferior y superior, no solo obtenemos estimaciones para el área, sino también un límite en el tamaño del posible error en estas estimaciones, ya que el valor real del área se encuentra en algún lugar entre ellos. También obtenemos una mejor aproximación del área al tomar el promedio Aavg de la suma superior y la suma inferior.

    Si analizamos de forma abstracta podemos decir que, en cada una de nuestras sumas calculadas, el intervalo [a, b] sobre el cual se define la función f se subdividió en n subintervalos de igual ancho determinado por ∆x = (b - a)/n y f se evaluó en un punto de cada subintervalo: c1 en el primer subintervalo, c2 en el segundo subintervalo, y así sucesivamente. Entonces todas las sumas finitas del área toman la forma.

    Las opciones para cn podrían maximizar o minimizar el valor de f. Al tomar más y más rectángulos, con cada rectángulo más delgado que antes, parece que estas sumas finitas dan aproximaciones cada vez mejores y cercas al área real. Como el propósito es estar tan cerca del área real como sea posible, el número de rectángulos en el que vamos a dividir nuestra función no será tan simple como tener dos o tres rectángulos, de hecho, estamos hablando de una suma con muchos términos, por lo que escribir todos los términos uno por uno seria una tarea tediosa y hasta imposible si el número de términos es muy grande, pero las matemáticas tienen su propio lenguaje para expresar sumas de cantidades exorbitantemente grandes.

    La notación sigma nos permite escribir una suma con muchos términos en forma compacta.

    La letra griega ∑ (sigma mayúscula correspondiente a la letra S del alfabeto castellano), significa "suma". El índice en el número debajo del símbolo de suma k nos dice dónde comienza la suma y el número de arriba dónde termina.

Ejemplo.

Propiedades y reglas de sumas finitas.

  • Regla de la suma

  • Regla de la resta

  • Regla de multiplicación por una constante

Cualquier valor de c

  • Regla de valor constante 

c es cualquier valor constante


    Por ahora esto ha sido todo. En nuestra próxima publicación continuaremos con el tema usando el mismo ejemplo para calcular su area real. Es bueno tratar este tema despacio ya que es importante que entiendan cada paso si quieren comprender como funcionan las integrales. Si les gusto el tema por favor compartirlo y si tienen sugerencias por favor agregarlo en los comentarios.

Ahora pueden seguirnos y contactarnos a través de Facebook, Twitter y correo electrónico.

 

 

También pueden seguir nuestro otro blog si les interesa aprender sobre el interesante mundo de la física.