Vamos a trabajar algunos ejercicios para ver las propiedades que aprendimos en la pasada publicación.
Evalúa
las integrales.
Este
es un ejercicio bastante directo. Primero debemos hacer una sustitución que
permita la simplificación del ejercicio y luego evaluar la sustitución en los
límites para obtener nuevos límites. Recordemos que la raíz cuadrada es igual
que la potencia ½. Para nuestra sustitución elegí.
- Sea
u = y + 1 à du = dy
- Cuando y = 0, u = 1
- Cuando y = 3, u = 4
Nuestra sustitución será.
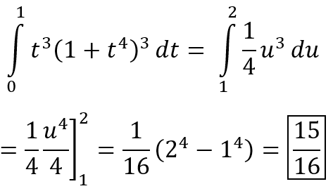
En
este caso la sustitución añade un término extra así que debemos ser cuidadoso
con eso.
- Sea
u = 1 + t4 à
du = 4t3 dt; ¼ du = t3 dt
- Cuando t = 0, u = 1
- Cuando t = 1, u = 2
La
sustitución hizo de este problema algo bastante simple. Otro método que
podíamos utilizar fue el de la distribución de potencial y luego evaluar la
integral para cada termino. La integral a evaluar seria la siguiente.
t3(1 + t4)3 = t3(1
+ 3t4 + 3t8 + t12)
= t15 + 3t11
+ 3t7 + t3
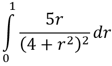
For this problem the important fact to
remember is that the denominator is simply a negative exponential.
- Sea
u = 4 + r2 à
du 2r dr; ½ du = r dr
- Cuando r = 0, u = 4
- Cuando r = 1, u = 5
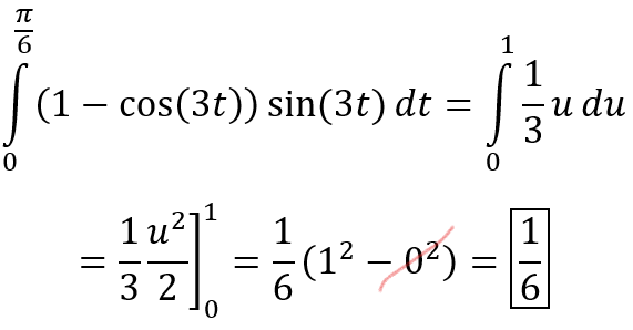
- Sea u = 1 – cos (3t) à du = 3sin (3t) dt; 1/3 du = sin (3t) dt
- Cuando t = 0, u = 0
- Cuando t = π/6, u = 1
Encuentra
el área de la región sombreada.
Los
siguientes ejercicios tratan sobre el análisis grafico para determinar las
propiedades que necesitamos para calcular áreas usando integrales. Para ello
necesitamos conocer la función que compone el área sombreada y los limites
tanto del eje x como del eje y ya que no sabemos cual de los dos ejes nos
facilitara la integral.
Tenemos
que la función es descrita en términos de x así que evaluaremos esta integral
con respecto a x. los límites de integración con respecto a x son – 2 < x
< 2 lo que lo hace un intervalo simétrico Antes de tratar de resolver voy a
confirmar si la función es par o impar. Ya que los límites de integración
satisfacen la condición de simetría.
La
función es impar por lo que la integral debe ser cero. Esto también lo podemos
apreciar al ver la gráfica ya que el área de la función es como un reflejo de
si misma. Vamos a confirmarlo.
- Sea
u = 4 – x2 à
du = – 2x dx; – ½ du = x dx
Este
caso es bastante directo, tenemos una función definida en términos de x y
su intervalo es – π < x < 0. Si hay algo que nos puede servir para
solucionar este problema es el conocimiento de que el seno es una función impar
y el coseno es una función par, es decir sin (–x) = – sin (x); cos
(–x) = cos (x).
- Sea
u = 1+ cos x à
du = – sin x dx; – du = sin x dx
In this case we can rewrite the functions to integrate with respect to x, but it will be easier to Integrate with respect to y instead. El intervalo de las funciones va 0 < y < 1 y como estamos usando el eje y el orden de las funciones va de derecha a izquierda, obtenemos f(y) = 12y2 – 12y3 y g(y) = 2y2 – 2y.
Podemos integrar
esta área usando el eje x. de arriba hacia abajo tenemos que f(x) = 1
y g(x) = cos2 x y los límites de integración a = 0
y b = π.
Para resolver
este problema utilizaremos dos identidades trigonométricas para simplificar el
problema.
Ahora pueden seguirnos y contactarnos a través de
Facebook, Twitter y correo electrónico.
- Facebook: https://www.facebook.com/AprendeMatematicasJMD
- Twitter: @JMDciencias
- Correo: institutodecienciasjmd@hotmail.com
También pueden seguir nuestro otro blog si les
interesa aprender sobre el interesante mundo de la física.
- Facebook: https://www.facebook.com/JMDFisica
- Blogger: jmdfisica.blogspot.com