Derivada de una función compuesta
Uno de los
conceptos más difíciles de trabajar en el álgebra que aprendemos en la escuela
es el de las funciones compuestas, ya que estas están formadas por dos o más
funciones que hacen que la funciones sean más complejas. Por ejemplo.
Si definimos
la función f(x) usando g(x) tendremos.
Esto sería
una función compuesta que resulta simple ya que lo único afectado ha sido la
amplitud del sen(x), pero si definimos g(x) usando f(x) tenemos algo más
complejo.
Este tipo
de funciones se vuelven aún más complicada cuando intercambiamos variables. Ya que
podemos definir una variable con respecto a x, otra con respecto a y, otra con
respecto a t, y así sucesivamente y combinarlas todas en una función compuesta.
Ejemplo.
Su complejidad
es un poco más manejable a la hora de buscar derivadas gracias a un método conocido
como la regla en cadena.

Otra forma
de representarla.
En términos
menos técnicos; tomamos la derivada de la función exterior y multiplicamos por
la derivada de la función interior. Veamos cómo funciona usando sen(3x).
Definimos las
funciones en la parte de arriba ahora podemos calcular las derivadas de forma
individual o agrupadas.

Primero vamos a
reescribir la función para hacer más obvio las funciones compuestas.
y 

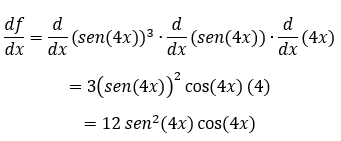
Debemos recordar
que sen3(4x) = [sen(4x)]3 así que tenemos el cubo de una función
y podemos definir dos funciones para calcular su derivada.
también
podemos aplicarle la regla de la cadena ya que esta no esta limitada a un solo
uso.Con estas ideas en mente ya tenemos todas las piezas necesarias para introducir la derivación implícita. Esta la vamos a explicar en su propia publicación pues es un tema que necesita de muchos detalles y es necesario tomarse su tiempo para que todo sea lo más claro posible. Por ahora esto es todo. Si le gusto o tienes alguna sugerencia por favor dejar sus comentarios debajo. La próxima publicación será sobre los dominios de las matemáticas y después regresaremos para concluir las derivadas y agregar algunos ejercicios para practicar.



























