martes, 5 de septiembre de 2023

Trabajo y Centro de Masa

En esta publicación discutiremos las matemáticas de dos términos de física. No vamos a entrar en detalles para explicar el significado de fórmulas o derivaciones de unidades que están más en el ámbito de una publicación de física. Si te interesa esto te sugiero que leas mi post sobre trabajo. En cambio, examinaremos el aspecto matemático del cálculo del trabajo.

Definimos Trabajo en la vida cotidiana como una actividad que requiere esfuerzo muscular o mental. Sin embargo, en ciencia los términos se refieren a una fuerza que actúa sobre un cuerpo. Cuando un cuerpo se mueve una distancia d como resultado de la acción de una fuerza F en la dirección del movimiento, eso es lo que definimos como trabajo, y está representado por la ecuación.

(1)

La fuerza es una cantidad vectorial y también lo es la distancia, lo que hace que esta operación sea más similar al producto escalar de dos vectores, y el trabajo es una cantidad escalar independiente de la dirección, esta fórmula solo nos dice el trabajo donde también conocemos la magnitud de la fuerza aplicada. como la magnitud de la distancia (los problemas relativos a los vectores se estudiarán en futuros post). Si la fuerza aplicada varía a lo largo del camino, la fórmula debe ser reemplazada por una fórmula integral. Como hemos visto antes, para que se produzca este cambio, la cantidad variable (en este caso, la fuerza) debe ser una función continua en un intervalo específico. Entonces, sea la fuerza una función continua de la posición del objeto en el intervalo a ≤ x ≤ b. Particionamos [a, b] y elegimos el punto arbitrario ck. La distancia se define como ∆xk en xk-1 a xk, luego tomamos el límite para obtener nuestra nueva expresión.

(2)

Este es el trabajo realizado por una fuerza variable F(x) en la dirección del movimiento a lo largo del eje x desde x = a hasta x = b. Usamos el eje x para denotar una idea general de dirección, la fórmula funciona de la misma manera en cualquier eje que elijamos.

Ejemplo.

¿Cuál es el trabajo realizado por una fuerza F(x) = 1/x2 que mueve un objeto a lo largo del eje x desde x = 1 hasta x = 10?

Este es un ejemplo muy sencillo. Tenemos nuestra función de fuerza y nuestro intervalo; todo lo que tenemos que hacer es ponerlos en la ecuación 2 y resolver.

Una cubeta de 7 lb se eleva del suelo al aire tirando de 25 pies de cuerda a una velocidad constante. La cuerda pesa 0.06 ft/lb. ¿Cuánto trabajo se dedicó a levantar el balde y la cuerda?

Debemos hallar el trabajo de levantar el balde y levantar la cuerda y sumarlos. Dado que el balde tiene un peso constante, y esta es otra expresión para indicar la fuerza, el trabajo realizado para levantar el balde solo es peso x distancia.

El peso de la cuerda varía con la elevación de la cubeta porque hay menos cuerda colgando libremente, por lo que la tasa de cambio de la longitud de la cuerda es 25 – x y su peso (0.06) (25 – x), por lo que el trabajo realizado para levantar la cuerda es.

El trabajo total para el balde y la cuerda combinados es.

Un buen ejemplo para estudiar cómo actúa el trabajo es bombear líquidos desde un recipiente. La dimensión del recipiente y el peso del líquido son los factores que afectan la cantidad de trabajo que se necesitará para bombearlo. Imaginamos sacar el líquido una losa horizontal delgada a la vez y aplicar nuestra ecuación de trabajo a cada losa. Luego evaluamos la integral que conduce a que las losas se vuelvan más delgadas y numerosas.

Veamos algunos ejemplos en funcionamiento para obtener los pasos para resolver cualquier problema de bombeo.

Tenemos la función y = 2x en el intervalo 0 ≤ x ≤ 5. Rotamos la función alrededor del eje y y obtenemos un cono con radio de x = ½ y. llenamos el cono con un peso líquido de 55 lb/ft3 hasta 2 pies de la parte superior. ¿Cuánto trabajo se necesita para bombear el líquido hasta el borde del tanque?

Este problema requerirá mucha manipulación geométrica. Para empezar, imaginamos el líquido dividido en finas láminas de volumen ∆V, por planos perpendiculares al eje y. Tomamos una losa y encontramos una expresión para su trabajo y básicamente todo lo que tenemos que hacer después de eso es agregar un número infinitesimal de losas para obtener una aproximación del trabajo total. Luego, aplicando límites a esto, obtenemos la solución que estamos buscando. El volumen de una sola losa se encuentra usando la fórmula ∆V = π(radio)2(ancho).

Como sabemos la densidad del líquido porque se dio en el enunciado, podemos usar esto para encontrar la fuerza requerida para levantar la losa que es igual a su peso.

F(y) = 55lb/ft3V

La distancia para levantar esta losa al nivel del borde del cono es 10 – y (ya que el intervalo de la función cubre 0 ≤ x ≤ 5 el valor máximo para y = 10). Ahora que conocemos la fuerza y la distancia, podemos calcular el trabajo.

Para encontrar el trabajo aproximado realizado levantando las n losas, usamos una suma de Riemann 

Si tomamos el límite de la suma de Riemann a medida que las losas se vuelven más delgadas, obtenemos la integral. 

Se utiliza un tanque rectangular con la parte superior a nivel del suelo para recoger el agua de escorrentía. Suponga que el agua pesa 62.4 lb/ft3. ¿Cuánto trabajo se necesita para vaciar el tanque bombeando el agua de regreso al nivel del suelo una vez que el tanque está lleno? Las dimensiones del tanque se dan en la figura.

Vayamos paso a paso para comenzar con la fórmula del trabajo.

La fuerza la podemos encontrar multiplicando el peso por el volumen.

Dado que el tanque tiene forma rectangular, el volumen de una losa es el largo x ancho x grueso.

Por lo tanto, la fuerza es. 

La distancia recorrida por el bombeo del agua es.

Ahora tenemos todo para encontrar el trabajo de bombear una losa.

Si sumamos todas las losas y luego tomamos los límites a medida que se vuelven más delgadas y el número se acerca al infinito, obtenemos la integral.

Centro de Masa

Muchos sistemas mecánicos se comportan como si sus masas estuvieran concentradas en un solo punto. Este punto nos permite calcular y predecir el movimiento incluso cuando su movimiento parece tan complicado de calcular (tales predicciones que sucedan). Desarrollaremos nuestro modelo matemático de centro de masa en etapas. Comenzando con el examen de un sistema de distribución discreto. La distribución de masas individuales m1, m2 y m3 en un eje x unidimensional sostenido por un fulcro en el origen.

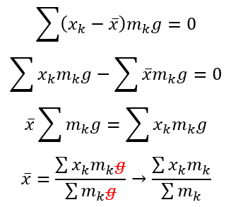
El sistema estará en equilibrio dependiendo de cuán grandes sean las masas y cómo estén dispuestas a lo largo del eje x (algo así como un sube y baja). Cada masa mk ejerce una fuerza hacia abajo mkg (el peso de la masa mk). Cada fuerza puede girar el eje alrededor del origen en algo llamado torque (que se mide multiplicando la fuerza mkg por la distancia firmada xk). La suma de los pares mide la tendencia de un sistema a girar. Esta suma la llamamos torque del sistema.

Fuerza de torsión del sistema= τ = m1g.x1 + m2g.x2 + m3g.x3

Si el sistema no está balanceado, el torque hará que el sistema gire, pero si el sistema está balanceado, los torques (neto) serán cero. Si factorizamos el término común, notamos algo interesante sobre el torque.

g (m1x1 + m2x2 + m3x3)

El torque es el producto de una característica del entorno en el que reside el sistema (azul) y un número (rojo), característica del sistema que permanece igual sin importar dónde se coloque el sistema. Esta constante se conoce como el momento del sistema con respecto al origen. Es la suma de los momentos de las masas individuales.

Ahora lo que nos interesa es dónde podemos colocar el fulcro para hacer que el sistema se equilibre (el punto x donde todos los torques suman cero).

El torque de cada masa en esta ubicación especial es.

Aplicando nuestra condición ∑ τk = 0

Que es una ecuación que podemos manipular para encontrar .

Esta ecuación nos dice que podemos encontrar dividiendo el momento del sistema por la masa total del sistema. Este punto se llama centro de masa.

(3)

Ejemplo:

Un niño de 32 kg se sienta en un extremo de un sube y baja de 2.5 m de largo. ¿Dónde debe sentarse su padre de 71 kg para que el centro de masa esté en el centro del sube y baja?

Dado que el niño está en un extremo del sube y baja, tomamos el origen del sistema de coordenadas para estar en la posición del niño (x1 = 0). La longitud total del sube y baja es de 2.5 m, queremos que el centro de masa esté en el centro del sube y baja, que está a la mitad de la distancia, que es 1.25 m, pero tenemos que averiguar cuál será la distancia para su padre, así que necesitamos resolver nuestra ecuación para encontrar esta distancia.

Masa Sobre Una Región Plana

Supongamos que tenemos una colección finita de masas en el plano x-y con masa mk en el punto (xk, yk). La masa del sistema es.

M = mk

(4)

Cada masa mk tiene un momento alrededor de cada eje. El momento de todo el sistema con respecto a los dos ejes está determinado por el momento con respecto a cada eje.

El momento sobre el eje x de la partícula que puede girar libremente alrededor del eje x es la masa de la partícula multiplicada por la distancia desde el eje x.

Mx = mk  yk

(5)

El momento sobre el eje y de la partícula que puede girar libremente alrededor del eje y es la masa de la partícula multiplicada por la distancia desde el eje y.

My = mk xk

(6)

El centro de masa en cada eje es la coordenada (x̄, ȳ).

(7)

Con esta elección, en lo que respecta al equilibrio, el sistema se comporta como si todas las masas estuvieran en un solo punto (x̄, ȳ), llamamos a este punto el centro de masa del sistema.

Placas Planas Delgadas

En lugar de tener una masa centrada en un punto, tenemos un área como una hoja o una placa plana delgada donde la masa es continua y las fórmulas para el centro de masa contienen integrales en lugar de sumas finitas.

Imagine que una placa delgada que ocupa una región en el plano xy se corta en tiras delgadas paralelas a uno de los ejes. El centro de masa de una de las tiras es (x̃, ỹ) y la masa de la tira m la tratamos como si estuviera concentrada en (x̃, ỹ), el momento de la tira es, por lo tanto.

My = x̃ ∆m

Mx = ỹ m

Y el centro de masa de la placa delgada será la suma de las masas de las tiras.

(8)

Ejemplo. La placa triangular que se muestra en la figura tiene una densidad constante de 3g.cm2. encontrar

  1. El momento de la placa con respecto al eje x y el eje y
  2. La masa del plato.
  3. Coordenadas del centro de masa de la placa.

Podemos resolver este problema utilizando dos métodos: el método de la franja vertical o el método de la franja horizontal. Si usamos el método de la tira vertical.

Esta es una distribución de masa sobre una región en el plano, así que para encontrar el momento sobre el eje x y el eje y debemos usar las expresiones integrales.

Ahora el diferencial dm es la masa de la tira que se puede aproximar como el producto de la densidad y el área diferencial dA. si la densidad se define como una función continua y el área de la tira se puede determinar por su largo por su ancho. En el caso de nuestra tira elegida tenemos una densidad dada δ = 3 g.cm2

dA = 2x dx

por lo que nuestra expresión para dm se convierte en

dm = δdA = δ.2x dx = 6x dx

Para establecer la integral. Necesitamos encontrar la coordenada (x̃, ỹ) en términos de x e y, luego integramos ỹdm y x̃dm entre los límites de integración determinados por la ubicación de la placa en el plano y la franja elegida, ya que estamos usando una franja vertical definida por el ancho dx, integramos en los límites del eje x 0 ≤ x ≤ 1. Una expresión para las coordenadas.

La distancia promedio entre el límite inferior y superior

ỹ = x

Es simplemente la distancia x desde el eje de rotación. Así que ahora podemos encontrar el momento con respecto a cada eje.

El momento sobre el eje x.

El momento sobre el eje y.

Ahora para la masa de la placa usamos la expresión integral.

 

Como ya tenemos una expresión para dm, podemos proceder a calcular.

Y las coordenadas del centro de masa son. 

Si nuestros cálculos son correctos, cuando usemos el método horizontal deberíamos obtener los mismos resultados.

usando tiras horizontales

Tenemos que hacer un análisis similar, empezando por encontrar una expresión para dm. lo definimos como antes dm = δ dA, pero esta vez dA está definido en la dirección horizontal. La longitud es la diferencia entre el lado derecho y el lado izquierdo.

Ancho = dy

Longitud = 1 – y /2 (esta es la expresión y = 2x) reescrita en términos de y.

Las coordenadas y serán diferentes porque la orientación es diferente. En este caso, estará determinado por la distancia promedio mientras tanto.

Los límites de integración también cambiaron porque la orientación cambió 0 ≤ y ≤ 2.

La masa del plato.

El centro de masa.

La misma solución porque es el centro de masa.

Encuentre el centro de masa de una placa limitada arriba por la parábola y=4 - x2 y abajo por el eje x. La densidad de la placa es 2x2

Como en el problema anterior, usamos nuestra integral. La distribución de masa es simétrica con respecto al eje y, por lo que el centro de masa x̄ = 0. Podemos usar el método de la franja vertical para encontrar ȳ, pero primero debemos definir dm y .

Como antes, definimos dm = δdA. dA se puede definir por el ancho dx por el largo 4 – x2

Como x̄ = 0, el punto en la tira x̃ = x, entonces obtenemos el punto que se puede encontrar como el promedio  \frac{{0 + 4 - {x^2}}}{2} = \frac{{4 - {x^2}}}{2} = \frac{y}{2}

El momento sobre el eje x


La coordenada del centro de masa es \left( {0,\frac{8}{7}} \right) 

Placas Delgadas Limitadas Por Dos Curvas

Supongamos que una placa cubre una región que se encuentra entre dos curvas g(x) y f(x) donde f(x) ≥ g(x) y a ≤ x ≤ b. Creamos una franja vertical como antes donde

Centro de masa de la tira: (x̃, ỹ) = (x, ½ [f(x) – g(x)])

Altura o longitud: f(x) – g(x)

Ancho: dx

Área: (f(x) – g(x))dx

Masa: dm = δ dA

El momento sobre el eje y {M_y} = \int\limits_a^b { x\limits^\~ dm}

El momento respecto al eje x {M_x} = \int\limits_a^b { y\limits^\~ dm}

Con estos podemos escribir una fórmula para el centro de masa.

(9)

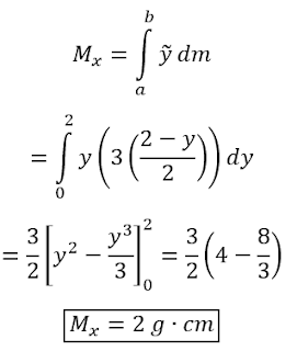
Encuentre el centro de masa delimitado por las curvas en la siguiente figura.

Comencemos por calcular la masa de la placa.

Entonces, el centro de masa con respecto a las x e y.

Centroides

En los casos que estudiamos hasta ahora, el centro de masa se determinó en una distribución de densidad no uniforme donde el centro geométrico y el centro de masa no son necesariamente el mismo, hay otros casos donde la densidad de masa es constante y el centro de masa es una característica de la geometría del objeto y no del material del que está hecho. En estos casos, nos referimos al centro de masa como el centroide de la forma. Para resolver este tipo de problema hacemos un análisis similar, pero establecemos la densidad de masa δ = 1.

Encuentre el centro de masa (centroide) de un alambre delgado de densidad constante con forma de semicírculo de radio a.

La fórmula general para un semicírculo es y = \sqrt {{r^2} - {x^2}}  donde r es el radio. La distribución de masa es simétrica con respecto al eje y, por lo que el centro de masa del eje x es x̄ = 0. Para encontrar ȳ debemos hacer lo mismo que hicimos antes, pero como estamos considerando un alambre delgado, no no necesito el area sino el largo.

dm = δds

con longitud ds = adθ

El punto se puede encontrar usando trigonometría. ỹ = a sin(θ), y como es un semicírculo tenemos 0 ≤ θ ≤ π.

Poniendo δ=1.

El centro de masa se encuentra en el punto (0, 2a/π). El δ se cancela en la ecuación, por lo que podríamos haberlo igualado a 1 y obtenido el mismo valor.

Ahora pueden seguirnos y contactarnos a través de Facebook, Twitter y correo electrónico.

 

 

También pueden seguir nuestro otro blog si les interesa aprender sobre el interesante mundo de la física.