Los resultados a continuación son para los ejercicios de la publicación "Derivadas parte 5". Si aún no has leído nuestra serie sobre derivadas, te recomiendo que primero leas las publicaciones sobre derivadas y regreses a trabajar los ejercicios. El propósito de esta publicación es para servir de guía a los ejercicios que presentamos. le pedimos que primero traten de resolver los ejercicios por su cuenta y luego pueden usar esta publicación como sugerencia y consulta.
Encuentra la derivada.
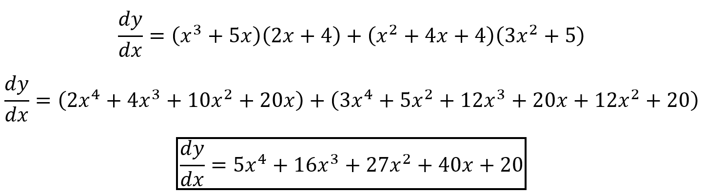
Vamos a simplificar la expresion.
pero vamos a
tratarlos de forma separada y ver si conseguimos el mismo resultado.Como pi no es una variable sino una constante
con valor de 3.14… la derivada de una constante es cero, asi que el resultado
es.
Simplificando la expresion.
Dividiendo por 4.
Evalúe los límites usando la regla de L’Hopital.
Antes de aplicar la
regla de L’Hopital debemos asegurarnos de que cumple con los requisitos.
Cuando x = -2.
Evaluando cuando x = -2.
Cuando x = 0.
Evaluando cuando x = 0.
Cuando x = 0.
Todavia seguimos teniendo
asi que
aplicamos la regla de L’hopital otra vez.
Evaluando cuando x = 0.

























No hay comentarios.:
Publicar un comentario