lunes, 10 de octubre de 2022

Funciones Hiperbólicas

Las funciones hiperbólicas son análogas a las funciones trigonométricas ordinarias, pero se definen usando la hipérbola en lugar del círculo.

Las funciones hiperbólicas básicas son:

  • Seno hiperbólico "sinh"
  • Coseno hiperbólico "cosh"

De los que se derivan.

  • Tangente hiperbólica "tanh"
  • Cosecante hiperbólica "csch"
  • Secante hiperbólica "sech"
  • Cotangente hiperbólica "coth"

Las funciones hiperbólicas inversas son:

  • Área del seno hiperbólico "arsinh" (también denominado "sinh−1", "asinh" o, a veces, "arcsinh").
  • Área de coseno hiperbólico "arcosh" (también denominado "cosh−1", "acosh" o, a veces, "arccosh").
  • Y así.

Podemos definir funciones trigonométricas usando la fórmula de Euler y también se puede hacer de manera similar para funciones hiperbólicas.

Las funciones hiperbólicas también tienen funciones de identidad similares a las trigonométricas y se pueden probar usando su definición de Euler.
Otras identidades que puede intentar probar.

Las seis funciones hiperbólicas, al ser combinaciones racionales de las funciones diferenciables ex y e-x, tienen derivadas en cada punto en el que están definidas. Las derivadas se pueden encontrar usando su definición.

Podemos usar esta definición para calcular la derivada de la cosecante.

Si definimos u como una función de x tal que eu(x).
Lo que básicamente agrega solo un du/dx a todos sus derivados regulares. Todas las demás funciones se calculan de manera similar.
Al igual que las funciones trigonométricas regulares, las funciones hiperbólicas también tienen función inversa. Su convención de nombres es similar a la trigonométrica, ya que siguen los mismos símbolos y estilo de nomenclatura. Sus derivados son los siguientes:
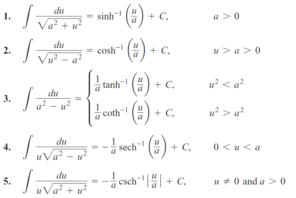
Con estas herramientas ahora podemos calcular sus integrales en forma simple.

Ejemplo. Evaluar

Podemos sustituir u = 2x à du = 2dx, a = √3 para comparar qué fórmula se parece.


La ecuación se parece al seno inverso hiperbólico.